שיחה:88-132 תשעג סמסטר א: הבדלים בין גרסאות בדף

מתוך Math-Wiki
שורה 184: שורה 184:
אז
אז
<math>(\lim_{n \to \infty }\frac{1}{\sqrt n})=0</math>
<math>(\lim_{n \to \infty }\frac{1}{\sqrt n})=0</math>
*(לא מתרגל) באופן כללי לא, כי מי אמר שיש גבול לאחד חלקי שורש n? אם היית יודע בוודאות שיש, אז זה נכון, אבל ההוכחה הזו לא אומרת שיש.

גרסה מ־15:34, 9 בנובמבר 2012

חזרה לדף הקורס


גלול לתחתית העמוד


הוספת שאלה חדשה

הוסף שאלה חדשה (רשום כותרת לשאלה, רשום את תוכן השאלה ולחץ על שמירה למטה מימין לסיום).

-עזרה על עיצוב הטקסט וכתיב מתמטי תוכלו למצוא כאן

אם אתם רוצים לשאול שאלה עליכם ליצור חשבון משתמש באתר.

שאלות

הערה לגבי הצגת שאלות

כשמתייחסים לשאלה משיעורי הבית אז בשורת הכותרת פרט למספר התרגיל ולמספר השאלה רצוי מאוד לומר על איזה קבוצה מדובר:מתמטיקאים,תיכוניסטים או מדמ"ח. אחרת, זה יכול לבלבל הן את הסטודנטים והן את המתרגלים. --מני 18:27, 31 באוקטובר 2012 (IST)


שאלה 1 תרגיל 1 (מתמטיקאים)

מתן, אני עונה לשאלה שלך כאן כי אין לי פייסבוק. מה שאתה אומר נכון כאשר [math]\displaystyle{ a }[/math] אי שלילי אבל אינו נכון כאשר [math]\displaystyle{ a }[/math] שלילי. שים לב שבשני אי השווינים זה שנתון וזה שצ"ל יש ערך מוחלט גם באגף ימין. --מני 12:50, 22 באוקטובר 2012 (IST)

תרגילי בית

אתה יכול להעלות את תרגילי הבית בPDF? (כי גם ככה לא צריך לערוך את זה אחרי שנה)

מטרת העל היא להעלות הכל בפורמט ויקי. כל תרגיל וכל פתרון מתכנסים לכדי מאגר גדול, ואתם נהנים מפירות השנים הקודמות. ניתן לבחור גרסאת הדפסה מימין למטה ולהדפיס. --ארז שיינר
אבל האיכות של זה היא לא איכות של PDF.תדפיס תרגיל כזה ולידו תרגיל שנתנו לנו בקיץ.ותראה שמה שבPDF הרבה יותר נעים לקרוא. --Caspim 23:55, 21 באוקטובר 2012 (IST)
כל אחד וההקרבות שלו. אני מקים את כל האתר הזה ומנהל את כל התוכן, אתם צריכים להתמודד עם פונטים של latex... אם אני אוכל לשפר את האיכות בעתיד אעשה זאת. --ארז שיינר
אני חושב שצריך להוריד בגרסה להדפסה את החלק של הפיסבוק. זה מבזבז לי קצת טונר --Avital 20:19, 22 באוקטובר 2012 (IST)

האוני' פתוחה

הספרם של האוניברסיטה הפתוחה מתחילים מיחידה 3?

אני לא בטוח מה כוונת השאלה, ואני לא בטוח מה יש בספרים של הפתוחה. כמדומני הם מדלגים על סדרות וטורים ומתחילים ישר מגבולות של פונקציות. זה לא הסדר שאנחנו נעבוד לפיו. --ארז שיינר
אז איזה ספר אתה ממליץ?
מייזלר הולך מאד מאד קרוב לתוכנית הלימודים שלנו. אני ממליץ לנסות לדבר עם סטודנטים בוגרים יותר לשמוע מה הם מצאו כיעיל --ארז שיינר

תרגיל 1 (תיכוניסטים)

בשאלות 1 ו2 x ממשי, נכון? --Avital 20:15, 22 באוקטובר 2012 (IST)


מצטרפת, ואם יוצא לי לא ממשי צריך להתעלם מזה?
x הוא ממשי --ארז שיינר

תרגיל 1ב (תיכוניסטים)

יש מצב זה אמור להיות [math]\displaystyle{ x^2-4x+3 }[/math] במקום [math]\displaystyle{ x^2-4x-3 }[/math]?

הפתרון יוצא יותר יפה.. :)

מה יותר יפה משורש? --ארז שיינר

שהתוצאה היא רציונאלית

מישהו יכול לעזור לי?

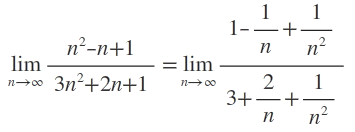
איך מוכיחים:

[math]\displaystyle{ \lim_{n \rightarrow \infty}\frac{n^2-n+1}{3n^2+2n+1}=\frac{1}{3} }[/math]


תודה תודה רבה :)


  • (לא מתרגל) אצלנו בהרצאה המרצה הביא את הכיוון. הוא אמר שאפשר לעשות זאת בקלות על ידי אריתמטיקה של גבולות, כלומר כל מני חוקים שמתקיימים בגבולות של כמה סדרות, עליהם נלמד בשיעור הבא. בכל מקרה, הכיוון שהוא הביא: צריך לחלק את המונה והמכנה בn^2, ואז נקבל:

http://www.math-wiki.com/images/b/bc/Daum_equation_1351689248875.png

מכאן זה דיי פשוט - לפי החוקים שנלמד, הגבול של המכפלה הוא מכפלת הגבולות, כנ"ל עם חילוק, חיסור וחיבור, ואפשר לראות שאחת חלקי n שואף לאפס, גם 2 חלקי n, גם 1 חלק n^2, וכו'. בנוסף "נפטרים" מכל הדברים עם n, חוץ מה1 למעלה והשלוש למטה, ונשאר שליש כי 1 ו-3 הם סדרה קבועה.


ואיך מוכיחים זאת בלי אריתמטיקה של גבולות?


  • אני לא בטוח שאפשר, אבל בעיקרון כמו שמוכיחים ש1 חלקי n שואף לאפס. ננחש שהגבול הוא שליש, ונפעל לפי ההגדרה. כלומר, לכל אפסילון גדול מאפס, נרצה למצוא n0 כך שלכל n>n0 המרחק בין an לשליש (בערך מוחלט) קטן מאפסילון. לא בטוח שזה יעבוד בכזו קלות, אולי לא יעבוד בכלל.


אוקי תודה :)

שאלה 7 בתרגיל 2

האם צריך להוכיח כי קיים חסם עליון ל A וחסם תחתון ל B, או שאפשר לצאת מנקודת הנחה שיש להם את החסמים הנ"ל?


-לפי אקסיומת השלמות, כל תת קבוצה של R שחסומה מלעיל, יש לה סופרימום. את השאר צריך להוכיח.

תרגיל 2 שאלה 5 ב' (תיכוניסטים)

אם אני רוצה להפריך ע"י הבאת שתי קבוצות שהחסמים שלהן מקיימים את התנאי, צריך למצוא לשתיהן את החסמים בשיטה הרגילה או שאפשר להסתפק בכך שברור שהם החסמים (אם מדובר בקבוצות שהחסמים שלהן ברורים)? Avichai 21:08, 1 בנובמבר 2012 (IST)

כנ"ל לגבי הפרכות בשאלה 6.

צריך להסביר, לא חייבים להוכיח עם אפסילון. --ארז שיינר

תרגיל 2 שאלה 4 (תיכוניסטים)

אפשר למצוא חסם עליון וחסם תחתון בעזרת אינדוקציה?

אני מניחה שהשאלה היא: אחרי שיש לי רעיון מהו החסם, האם ניתן להוכיח באינדוקציה שהוא אכן החסם? התשובה היא כן...--לואי 21:08, 3 בנובמבר 2012 (IST)

תרגיל 2 שאלה 5ג (תיכוניסטים)

האם אפשר לכתוב רק את המקרה הכללי או שצריך גם להוכיח?

תרגיל 2 שאלה 8 (תיכוניסטים)

בסוף בסוגריים זה לא אמור להיות אפס חסם תחתון של A אם"ם A^-1 לא חסומה מלעיל?

כי אם לא אפשר להפריך את זה, לדוגמה אם A היא קבוצת כל המספרים הממשיים הגדולים מ-0, אז 0 יהיה חסם תחתון של A^-1.


  • קבוצה חסומה היא קבוצה שיש לה חסם מלעיל וחסם מלרע. בR זה אומר שיש גם אינפימום וגם סופרימום.

תרגיל 2, שאלה 2 (בוגרים)

האם ניתן להפריך את הטענה : שאלה 2 יהי x∈ℝ מספר ממשי המקיים x ≥ 0 . נניח בנוסף שמתקיים x < ε לכל ε > 0. הוכיחו או הפריכו: x = 0 . ע"י הוכחת הטענה: לכל אפסילון גדול מאפס קיים n טבעי כך ש- אפסילון גדול מ 1/n??

תודה

בעיקרון - לא. הערה כללית: זה לא ממש המקום לרשום הוכחות/הפרכות של שאלות. זה עלול להרוס לאנשים שעדיין מנסים לפתור את השאלות בעצמם... =) זה כן המקום לשאול שאלות על החומר, לבקש הבהרות ורמזים על התרגילים, וכדומה... --לואי 21:06, 3 בנובמבר 2012 (IST)

תרגיל 2 (מדמ"ח)

למה אין שאלה מספר אחת? לא אמורה להיות, או שהיא נשמטה?

אין שאלה אחת, לא לדאוג (: --ארז שיינר

ספר באינפי של הוכמן

האם הספר "חשבון אינפיניטסימלי" של מיכאל הוכמן בהוצ' אקדמון טוב לקורס שלנו ? תודה.

אני לא מכיר את הספר. --מני 12:07, 7 בנובמבר 2012 (IST)

ספר באינפי של הוכמן

האם הספר "חשבון אינפיניטסימלי" של מיכאל הוכמן בהוצ' אקדמון טוב לקורס שלנו ? תודה.

תרגיל 2 ,שאלה 3(מתמטיקאים בוגרים)

הכוונה שם זה לתת הפרכה, ככה שאני בוחר את A ,ובוחר אפסילון שיתאים? תודה

לא. הטענה היא שאם A קבוצה שעבורה מתקיים התנאי שמופיע בתרגיל אז בהכרח 0 אינו חסם תחתון. לכן אתה לא יכול לבחור A ספציפית אלא להוכיח עבור כל A שמקיימת את התנאי. זאת אומרת אתה צריך לקחת A שרירותית אבל מותר לך להניח שהתנאי עם אפסילון מתקיים (גם כאן אתה לא יכול לבחור את אפסילון). מזה אתה צריך ויכול להסיק שאפס בהכרח אינו החסם התחתון. --מני 12:12, 7 בנובמבר 2012 (IST)

תרגיל 2 שאלה 5 (מתמטיקאים)

מצאו חסם עליון תחתון מינ' מקס' . צריך גם להוכיח ? למשל אם לא קיים מקס' להוכיח זאת ?

כן. צריך להוכיח. אם מוצאים את החסם עליון (כמובן עם הוכחה) והוא לא שייך לקבוצה אז זה מספיק להסיק שאין מקסימום.--מני 22:50, 7 בנובמבר 2012 (IST)

תרגיל 3 שאלה 4 ו (תיכוניסטים)

אם לדוגמא קיים i כך ש ai = 0, אז התרגיל מוגדר בכלל?


???


(לא מתרגל / מרצה) זה תלוי. מותר למספר סופי של איברים להיות 0, אך חייב להיות [math]\displaystyle{ n_1\in N }[/math] עבורו לכל [math]\displaystyle{ n\ge n_1 }[/math], [math]\displaystyle{ a_n\neq 0 }[/math] --גיא 16:48, 9 בנובמבר 2012 (IST)

שאלה 1 תרגיל 3(תיכוניסטים)

מותר בשאלה 1 להשתמש מבלי להוכיח בכך ש [math]\displaystyle{ \lim_{n\rightarrow \propto}\frac{1}{n}=0 }[/math] ?

תרגיל 3 שאלה 4 (תיכוניסטים)

למה הכוונה "מתכנסת במובן הרחב לאינסוף" ? לא למדנו את המושג בכלל(לא בהרצה ולא בתרגול).


(לא מרצה / מתרגל) תהי [math]\displaystyle{ a_n }[/math] סדרה. אזי נאמר ש-[math]\displaystyle{ a_n }[/math] מתכנסת לאינסוף (במובן הרחב) אם [math]\displaystyle{ \forall M\gt 0, \exist N_M\in N ,\forall n\ge N_M : a_n\ge M }[/math] --גיא 22:59, 8 בנובמבר 2012 (IST)

תרגיל 2 שאלה 6 אינפי למתמטיקאים

בשאלה 6 הגדרתם ש A ו B חסומות מלרע, האם אני יכול לקחת כדוגמאות קבוצות שהן גם חסומות מלעיל וגם חסומות מלרע?

תרגיל 3 שאלה 1 סעיף א'

אני יכול להוציא שורש לגבול? לדוגמא אם [math]\displaystyle{ (\lim_{n \to \infty }\frac{1}{\sqrt n})^2=0 }[/math] אז [math]\displaystyle{ (\lim_{n \to \infty }\frac{1}{\sqrt n})=0 }[/math]